个别资本成本的计算——2026年中级会计《财务管理》预习阶段知识点
你看到的佼佼者,都是一直努力的平凡人。2026年中级会计考试预习阶段已经开始,有一天你将破茧而出,成长得比人们期待的还要美丽,但这个过程会很痛,很辛苦,有时候还会觉得灰心,面对汹涌而来的现实觉得自己渺小无力,但这也是生活里的一部分,做好你现在能做的,然后相信一切都会好的。

【第五章 筹资管理(下)】
个别资本成本的计算
1.资本成本率=年资金用资费/筹资总额-筹资费用=年资金用资费/筹资总额×(1-筹资费用率)
2.债券及借款的资本成本计算
单位:万元
| 项目 | A公司 | B公司 |
| 企业资金规模 | 2000 | 2000 |
| 负债资金(利息率:10%) | 0 | 1000 |
| 权益资金 | 2000 | 1000 |
| 资金获利率 | 20% | 20% |
| 息税前利润 | 400 | 400 |
| 利息 | 0 | 100 |
| 税前利润 | 400 | 300 |
| 所得税(税率25%) | 100 | 75 |
| 净利润 | 300 | 225 |
注:真正由企业自己负担的利息=税后的利息=利息×(1-T)。
(1)一般模式
债务资本成本率=年利息×(1-所得税税率)/筹资额×(1-筹资费用率)
(2)贴现模式
逐步测试结合插值法求贴现率,即找到使得未来现金流出的现值等于现金流入现值的那一个贴现率。

提示:
个别资本成本的计算要口径一致:一是要计算税后的资本成本;二是要计算年实际资本成本。
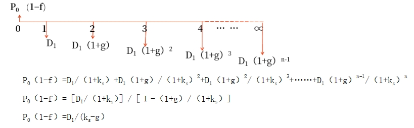
(2)普通股资本成本
①股利增长模型

Ks=0.6*(1+10%)/30*(1-2%)+10%=12.24%
提示
注意区分D0和D1
D0 :当前的股利,本年的股利;
D1 :预计第一期的股利,期望的股利。
②资本资产定价模型法
Ks=Rf+β(Rm-Rf)
(3)留存收益资本成本
计算与普通股成本相同,也分为股利增长模型法和资本资产定价模型法,不同点在于不考虑筹资费用。
股利增长模型法: Ke=[D0(1+g)/P0]+g=D1/P0+g
资本资产定价模型法:Ke=Rf+β(Rm-Rf)
总结
对于个别资本成本,是用来比较个别筹资方式资本成本的。
个别资本成本从低到高的排序:长期借款<债券<租赁<优先股<留存收益<普通股<吸收直接投资。
✅推荐阅读:2026年中级会计《财务管理》预习阶段知识点汇总,备考不费力!
以上就是为大家整理的关于个别资本成本的计算相关内容。考生们要合理安排时间,充分利用预习阶段的学习时间,积极备考,希望大家都能取得中级会计师资格证!
注:以上内容选自闫华红老师《财务管理》2025考季基础精修班课程讲义
(本文为东奥会计在线原创文章,仅供考生学习使用,禁止任何形式的转载)

津公网安备12010202000755号