加权平均资本成本_2023年注会财管预习知识点
注册会计师考试财管科目,涉及到大量的公式,计算能力薄弱的考生一定要做好学习计划。东奥会计在线为同学们整理了抢学知识点,快来一起打卡学习吧!还有更多预习知识点内容点击查看>>>

加权平均资本成本
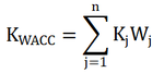
定义 | 加权平均资本成本是公司全部长期资本的平均成本,一般按各种长期资本的比例加权计算,故称加权平均资本成本 注意:债务资本成本要调整为税后的债务成本 | ||
公式 |
| ||
权重 | 账面价值 权重 | 反映 过去 | 根据企业资产负债表上显示的会计价值来衡量每种资本的比例 优点:计算简便 缺点: (1)账面结构反映的是历史的结构,不一定符合未来的状态 (2)账面价值会歪曲资本成本,因为账面价值与市场价值有极大的差异 |
实际市场 价值权重 | 反映 现在 | 根据当前负债和权益的市场价值比例衡量每种资本的比例 优点:反映目前实际状况 缺点:由于市场价值不断变动,负债和权益的比例也随之变动,计算出的加权平均资本成本数额也是经常变化的 | |
目标资本 结构权重 | 反映 未来 | 根据按市场价值计量的目标资本结构衡量每种资本要素的比例 优点: (1)这种方法可以选用平均市场价格,回避证券市场价格变动频繁的不便 (2)可以适用于企业评价未来的资本结构,而不像账面价值权重和实际市场价值权重那样只反映过去和现在的资本结构 | |
提示 | 考试做题时根据题目要求确定权数 | ||
■ 所属章节:资本成本
■ 内容来源:选自田明老师2022年注会财管授课讲义
● ● ●
抢学图书《考点抢先学》,注会抢学图书主体分三个部分:
◆ 引学篇:介绍考试政策、科目特点、学习方法等;
◆ 零基础入门篇:介绍部分基础知识、政策原理、专业名词等;
◆ 恒考点抢学篇:也是最重要的部分,讲解基础、不变、重要的考点并配有例题。
2023年注会《考点抢先学》已现货发售!
抢学图书配套课《零基础入门班》+《恒考点基础班》:
◆ 零基础入门班:提前半年,抢学科目入门知识,基础原理专享讲解。
◆ 恒考点基础班:结合考试趋势,人气名师精讲恒考点,打好基础。
购轻一图书即可获得抢学图书,购轻一豪华版/畅学版还可获得抢学课程,组合购买还有更多折扣!
购注会D班、VIP签约特训班、1V1私人定制计划,也可获得抢学课程,点击下方链接了解详细内容!
![]() |
| 考试信息 | 考生必看!2023年注册会计师考试信息梳理! |
| 含金量 | 含金量有多高?快速了解注会就业前景、薪资水平! |
| 预习计划 | 备考开始!2023年注会6科预习阶段学习计划 |
| 名师指导 | 名师直播:2023年注会抢学课程免费公开课 |
| 备考资料包 | 点击领取!2023年注会考试预习备考资料包 |
毫无理想而又优柔寡断是一种可悲的心理。希望同学们都能认真备考,在考试中都能取得一个好的分数,顺利通过注册会计师考试。
(本文是东奥会计在线原创文章,转载请注明来自东奥会计在线)









津公网安备12010202000755号