2017中级经济师《经济基础》基础考点:需求价格弹性
备考中级经济师少不了汗水,但是只要你足够坚持,努力的复习备考好每一章节总会有收获的。东奥小编将中级经济师经济基础知识点做了如何精编,希望大家随时检测自己的学习成果,夯实基础。
【内容导航】:
1.需求价格弹性的定义
2.需求价格弹性系数的计算公式
3.需求价格弹性的基本类型
4.影响需求价格弹性的因素
5.需求价格弹性和生产者或销售者的总销售收入的关系
【所属章节】:
本知识点属于《经济基础》科目第一部分经济学基础 第一章市场需求、供给与均衡价格
【知识点】:需求价格弹性
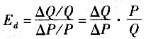
1.需求价格弹性的定义。需求价格弹性的定义是,需求量对价格变动的反应程度,是需求量变动百分比与价格变动百分比的比率,即:
需求价格弹性系数=需求量的相对变动/价格的相对变动
如用Ed代表需求价格弹性系数,用P和ΔP分别表示价格和价格的变动量,用Q和ΔQ分别表示需求量和需求量的变动量,则:

由于需求规律的作用,价格和需求量是呈相反方向变化的,价格下跌,需求量增加;价格上升,需求量减少。因此,ΔQ和ΔP符号相反,所以需求价格弹性系数总是负数。由于它的符号始终不变,为简便起见,我们通常把负号略去,采用其绝对值。
2.需求价格弹性系数的计算公式。需求价格弹性系数有两种计算公式,一种是点弹性公式,一种是弧弹性公式。
点弹性是指需求曲线上某一点上的弹性,它等于需求量的无穷小的相对变化对价格的一个无穷小的相对变化的比率,即:
点弹性系数=需求量的相对变化/价格的相对变化
用公式表示为:

弧弹性是指需求曲线上两点之间的弧的弹性,它等于需求量的相对变动量对价格的相对变动量的比值。
弧弹性系数的计算公式为:

式中,Q0为变动前的需求量,Q1为变动后的需求量,ΔQ为需求的变动量;P0为变动前的价格,P1为变动后的价格,ΔP为价格的变动量。
由于弧弹性能表现两点之间的弹性,所以它适用于价格和需求量变动较大的场合,而点弹性表明的只是一点上的弹性,因此只适用于价格和需求量变动较小的场合。
3.需求价格弹性的基本类型。需求价格弹性系数的数值范围是从零到无穷小。通常可把需求价格弹性分为三种:
(1)当需求量变动百分数大于价格变动百分数,需求弹性系数大于1时,叫作需求富有弹性或高弹性。例如,价格下降2%,使需求量增加4%。
(2)当需求量变动百分数等于价格变动百分数,需求弹性系数等于l时,叫作需求单一弹性。例如,价格下降2%,需求量也增加2%。
(3)当需求量变动百分数小于价格变动百分数,需求弹性系数小于1时,叫做需求缺乏弹性或低弹性。例如,价格下跌2%,需求量只增加1%。
4.影响需求价格弹性的因素
(1)替代品的数量和相近程度。一种商品若有许多相近的替代品,那么这种商品的需求价格弹性就较大。因为一旦这种商品价格上涨,甚至是微小的上涨,消费者往往会舍弃这种商品,而去选购它的替代品,从而引起需求量的变化。
(2)商品的重要性。一种商品如果是人们生活基本必需品,即使价格上涨,人们还得照样买,其需求弹性就小或缺乏弹性;而一些非必需的高档商品,像贵重首饰、高档服装等,只有当消费者购买力提高之后才买得起,其需求弹性就大。
(3)商品用途的多少。一般来说,一种商品的用途越多,它的需求弹性就越大,反之就缺乏弹性。任何商品的不同用途都有一定的排列顺序。如果一种商品价格上升,消费者会缩减其需求,把购买力用于重要的用途上,使购买数量减少;随着价格的降低,会增加其购买数量。
(4)时间与需求价格弹性的大小至关重要。时间越短,商品的需求弹性就越小;时间越长,商品的需求弹性就越大。这是因为在较长的时间内,消费者就越有可能找到替代品,替代物品多了,它的需求弹性就必然增加。
5.需求价格弹性和生产者或销售者的总销售收入的关系。需求价格弹性系数的大小与生产者或销售者的收入有着密切联系,正是两者之间具有这种联系,才使得需求价格弹性理论更富有实践意义。下面我们来研究一下弹性系数大小与收入或支出的关系。
成功绝对不是偶然,平时多看书,多做题做好题,自然会有所长进。点击进入中级经济师每日一练汇总,及时通过习题检测自己,祝大家顺利通过2017年中级经济师考试。





津公网安备12010202000755号