2017注会《财管》高频考点:资本资产定价模型
注册会计师考试临近,强化阶段备考应注重知识点的查漏补缺,小编整理注会财管高频考点,帮助大家强化备考,顺利过关!
【高频考点】资本资产定价模型
资本资产定价模型的研究对象,是充分组合情况下风险与要求的收益率之间的均衡关系。
(一)系统风险的衡量指标
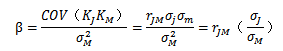
1.单项资产的β系数
|
含义 |
某个资产的收益率与市场组合之间的相关性。 |
|
结论 |
市场组合相对于它自己的贝塔系数是1。 (1)β=1,说明该资产的系统风险程度与市场组合的风险一致; (2)β>1,说明该资产的系统风险程度大于整个市场组合的风险; (3)β<1,说明该资产的系统风险程度小于整个市场组合的风险; (4)β=0,说明该资产的系统风险程度等于0。 |
|
结论 |
【提示】 (1)β系数反映了相对于市场组合的平均风险而言单项资产系统风险的大小。 (2)绝大多数资产的β系数是大于零的。如果β系数是负数,表明这类资产收益与市场平均收益的变化方向相反。 |
|
计算 方法 |
(1)回归直线法:利用该股票收益率与整个资本市场平均收益率的线性关系,利用回归直线方程求斜率的公式,即可得到该股票的β值。 (2)定义法
|
|
影响 因素 |
(1)该股票与整个股票市场的相关性(同向); (2)股票自身的标准差(同向); (3)整个市场的标准差(反向)。 |
【提示】资产组合不能抵消系统风险,所以,资产组合的β系数是单项资产β系数的加权平均数。
(二)资本资产定价模型(CAPM)和证券市场线(SML)
|
资本资产定价模型的基本表达式 |
根据风险与收益的一般关系:
必要收益率=无风险收益率+风险附加率 Ri=Rf+β×(Rm-Rf) |
|
证券市场线 |
证券市场线就是关系式:Ri=Rf+β×(Rm-Rf)所代表的直线。 ①横轴(自变量):β系数; ②纵轴(因变量):Ri必要报酬率; ③斜率:(Rm-Rf)市场风险溢价率(市场风险补偿率); ④截距:Rf无风险报酬率。 |
【提示1】市场风险溢价率(Rm-Rf)反映市场整体对风险的偏好,如果风险厌恶程度高,则证券市场线的斜率(Rm-Rf)的值就大。
注会备考的路或许孤单或许辛苦,同学们不要担心,现在的汗水一定可以浇灌出光明的未来,注册会计师就在前方,我们一起加油。不同的考生需要的备考策略是不同的,小编针对不同的注会备考人群,给大家汇总了各类考生注册会计师考试备考攻略,希望可以帮助大家。




津公网安备12010202000755号